Lào Cai đóng cửa 45 quán karaoke
Thành phố Lào Cai đã cho dừng 45 cơ sở kinh doanh karaoke không đủ điều kiện hoạt động về an toàn phòng cháy chữa cháy.

Các quán karaoke ở Lào Cai treo biển dừng hoạt động do không đảm bảo an toàn PCCC. Ảnh: Công an cung cấp
Ngày 23.1, công an thành phố Lào Cai thông tin, qua thống kê, trên địa bàn thành phố hiện có 50 cơ sở kinh doanh karaoke, trong đó chỉ có 5 cơ sở đảm bảo các điều kiện đảm bảo an toàn phòng cháy chữa cháy (PCCC), còn lại 45 cơ sở không đảm bảo điều kiện về an toàn PCCC.
Theo Công an Lào Cai, trong số 45 cơ sở trên có nhiều hộ gia đình kinh doanh karaoke “trá hình”, “biến tướng” mà trước đây là cơ sở kinh doanh karaoke không đủ điều kiện đã dừng hoạt động hoặc các loại hình tương tự (Bar, Pub, Lounge, hát cho nhau nghe,… ) khi chưa được các cơ quan có thẩm quyền cấp giấy phép hoạt động kinh doanh trên địa bàn thành phố Lào Cai năm 2024.
Do đó, Tổ Công tác của Công an thành phố Lào Cai đã tiến hành kiểm tra, tuần tra lưu động tại các tuyến, địa bàn, khu vực có các cơ sở, hộ gia đình tiềm ẩn nguy cơ hoạt động kinh doanh karaoke “chui”, trái phép, trá hình.

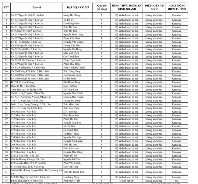
Danh sách các cơ sở không đảm bảo an toàn PCCC tại Lào Cai. Ảnh: Công an cung cấp
Qua kiểm tra, đa số những cơ sở karaoke ở thành phố Lào Cai bị đình chỉ và tạm đình chỉ được xây dựng từ lâu nên không đáp ứng yêu cầu PCCC của Bộ Công an quy định.
Hiện nay, các cơ sở này đều tự dừng hoạt động, nộp lại giấy chứng nhận đủ điều kiện an ninh, trật tự và niêm yết biển thông báo “Cơ sở dừng hoạt động do không đảm bảo an toàn PCCC”.




In bài viết
